동역학 - 라그랑주 운동방정식 2
지금까지 살펴본 라그랑주 운동방정식을 1 링크, 2 링크 매니퓰레이터에 적용해봅시다.
| 순서: 1) 운동에너지 & 위치에너지 방정식을 구한다. 1-1) 링크가 관성을 갖는 경우, 각 링크의 관성을 고려하면서 직진/회전 운동에너지를 모두 고려해야 한다. 2) 라그랑지안을 구한다. 3) 식(2.3)을 적용하여 로봇 동역학 모델을 정의한다. $\frac{d}{dt}(\frac{\partial L}{\partial \dot{q}})-\frac{\partial L}{\partial q}=\tau$ 4) 부가적으로, 3)에서 구한 모델을 잘 정리하여 동역학의 성분 별로 분리할 수 있다. |
1 링크 매니퓰레이터
다음과 같은 조건의 1 링크 로봇 매니퓰레이터의 동역학 모델을 얻어보는 과정을 서술합니다.
| 전제 조건: - 링크 관성은 없으며, 끝단에만 점 질량 $m$을 가지고 회전운동 관절변수 $q$로 정의합니다. - 이때 무게가 없는 링크의 길이는 $l$로, 회전 입력 토크는 $\tau$를 가지며 중력이 음의 $Y$방향으로 작용한다고 가정한다. |
![]() |
이에 따른 점질량 $m$의 운동에너지는 다음과 같이 정의할 수 있습니다.
![]() |
점질량 $m$의 위치에너지는 중력방향에 대하여 들여진 높이에 비례하므로 다음과 같이 정의할 수 있습니다.
그래서, 이 두 식을 이용하여 라그랑지안을 다음과 같이 도출 할 수 있습니다.
![]() |
최종적으로 식(2.3)을 적용하여 1 링크 로봇 동역학 모델을 다음과 같이 찾을 수 있습니다.
![]() |
지금까지 알아본 1 링크 매니퓰레이터는 링크가 점질량인 경우의 동역학 모델을 유도했습니다.
그러나 현실에서 점질량을 가진 매니퓰레이터는 거의 없습니다.
다음과 같이 링크에 관성을 갖는 경우가 많으므로, 이에 대한 동역학 모델을 유도해 봅니다.
임의의 형상으로 만들어진 링크 관성을 갖는 경우, 강체 회전에 의한 운동에너지를 전체 운동에너지에 추가해야 합니다.
![]() |
링크 관성은 링크의 무게중심에서 구하는 것이 가장 작은 값을 가집니다. 보통, 이러한 관성을 $\hat{I}$ 이라고 나타냅니다.
그리고 이러한 링크 관성은 임의의 지점으로 옮겨서 얻을 수 있습니다.
예를 들어, 좌표 원점(구동 축에 붙어 있다고 가정함)에서 얻어지는 링크 관성은 평행 축 정리(Parallel-axis theorem) 1에 의하여 $I=\hat{I}+mr^2$으로 정리됩니다.
결국 링크 관성을 링크의 무게중심에서 구하든, 좌표 원점에서 구하든, 우리가 최종적으로 구하고자 하는 운동에너지의 수식은 동일하게 됩니다.
이를 알아보기 위해 다음과 같이 두 상황에서의 운동에너지 수식을 유도해봅시다.
1) 무게 중심점에서 운동에너지 계산:
무게 중심점에서는 직진/회전 운동이 같이 존재하기 때문에 이 두 가지를 모두 고려한 수식으로 정의됩니다.
![]() |
2) 좌표 원점에서 운동에너지 계산:
좌표 원점에서는 직진운동은 없고 오로지 회전운동만 존재합니다.
따라서 전체 운동에너지는 다음과 같이 회전에 의한 운동에너지로만 표현가능합니다.
![]() |
따라서, 식 (2.13)과 식 (2.14)를 전개하여 비교하면 동일한 식임을 알 수 있습니다.
즉, 같은 링크 내에서의 운동에너지는 어느 지점을 선택하든 일정한 것입니다.
관습적으로, 로봇 동역학 모델을 얻을 때는 링크의 무게중심에서 보다 관절(구동 축) 부분에서 링크 관성을 계산하는 것이 보다 편리합니다.
운동에너지를 구했으니, 위치에너지를 구해봅시다.
위치에너지는 무게중심의 상승 높이와 비례하여 얻어집니다(점질량인 경우와 개념적으로 동일).
운동에너지와 위치에너지를 이용하여 구한 라그랑지안은 다음과 같습니다.
![]() |
지금까지 유도한 식을 간단하게 정리하고, 최종적으로 식(2.3)을 적용하여 1 링크 로봇 동역학 모델을 다음과 같이 정의할 수 있습니다.
![]() |
2 링크 매니퓰레이터
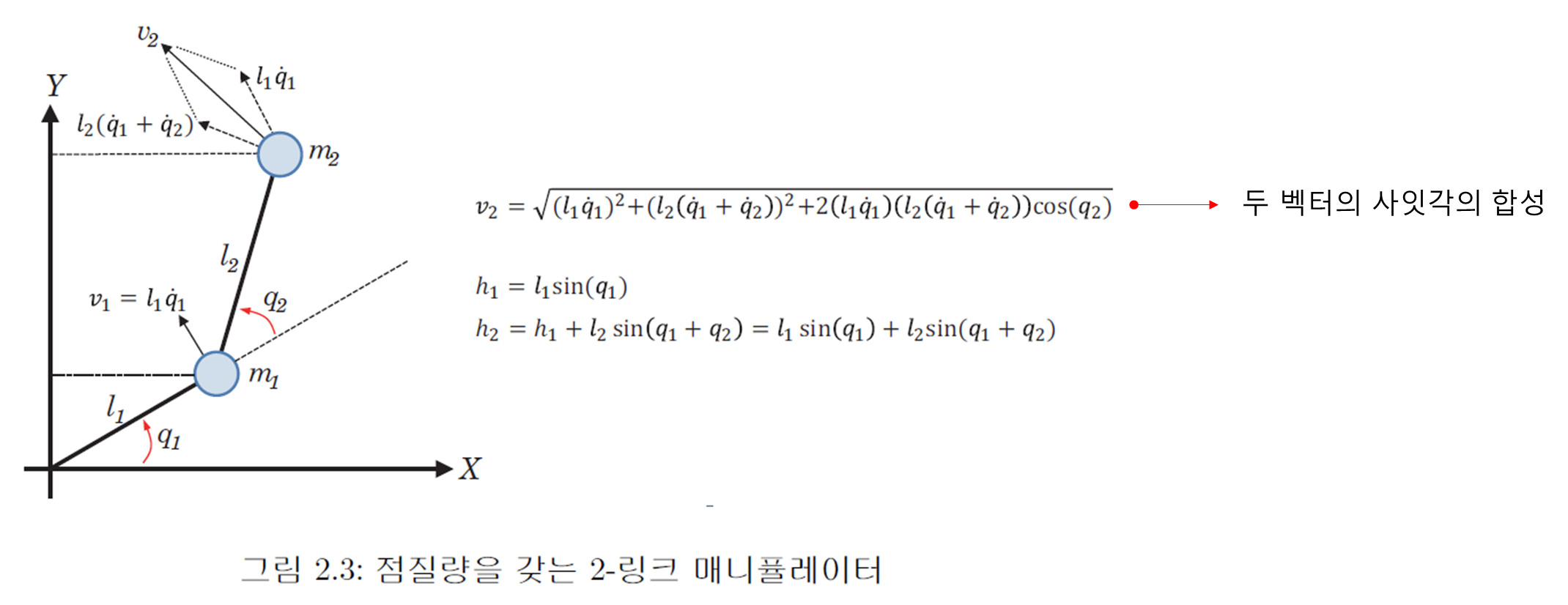
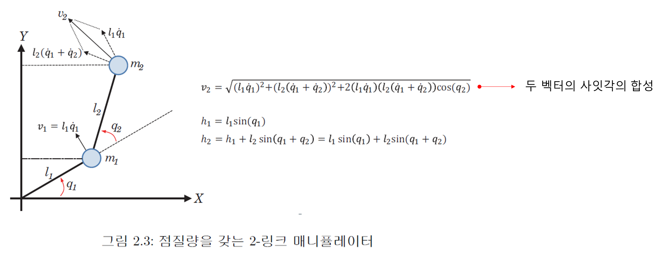
다음과 같은 조건의 2 링크 로봇 매니퓰레이터의 동역학 모델을 얻어보는 과정을 서술합니다.
| 전제 조건: - 링크 관성은 없으며, 두 개의 점 질량 $m_1, m_2$을 가지고 회전운동 관절변수 $q_1, q_2$로 정의합니다. - 각 점질량들은 길이가 일정한 링크에 구속되어 있어서 링크의 수직 방향 운동만 가능합니다. |
- 점질량 $m_1$의 운동속도: $v_1=l_1\dot{q_1}$
- 점질량 $m_2$의 운동속도: $v_2=\sqrt{l^2_1q^2_1+l^2_2(\dot{q_1}+\dot{q_2})^2+2l_1l_2\dot{q_1}(\dot{q_1}+\dot{q_2})cos(q_2)}$
- $m_2$의 경우 $l_2$에 수직방향을 구속된 $l_2(\dot{q_1}+\dot{q_2})$의 속도벡터와 $l_2$에서 $l_2$로 전달되는 $v_1$벡터의 합성 벡터의 크기로 얻어진다.
이렇게 각 링크에 작용하는 속도를 구했기 때문에 운동에너지는 다음과 같이 단순한 형태로 정의가 가능합니다.
두번째로는 위치에너지를 계산합니다. $Y=0$을 기준으로 높이 $h_1, h_2$를 쉽게 계산할 수 있습니다.
그림 2.3에서 기술한 바와 같이 각 링크에 대한 높이는,
- $h_1=l_1sin(q_1)$
- $h_2=l_2sin(q_1+q_2)$
이기 때문에 아래와 같이 중력에 의한 위치에너지는 다음과 같습니다.
마지막으로 식 (2.19)와 (2.20)의 차이를 이요하여 다음과 같이 라그랑지안을 얻습니다.
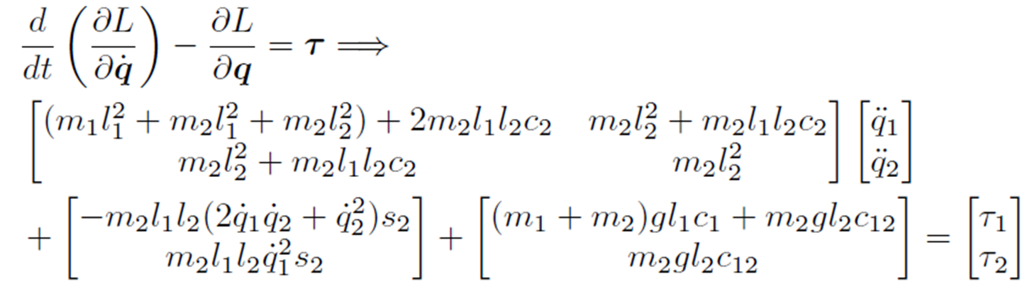
최종적으로 라그랑주 운동방정식(식(2.3))을 이용하여 상세한 로봇 동역학 모델을 얻습니다.
위 수식을 정리해서 미분 차수에 따라서 재배열하면,
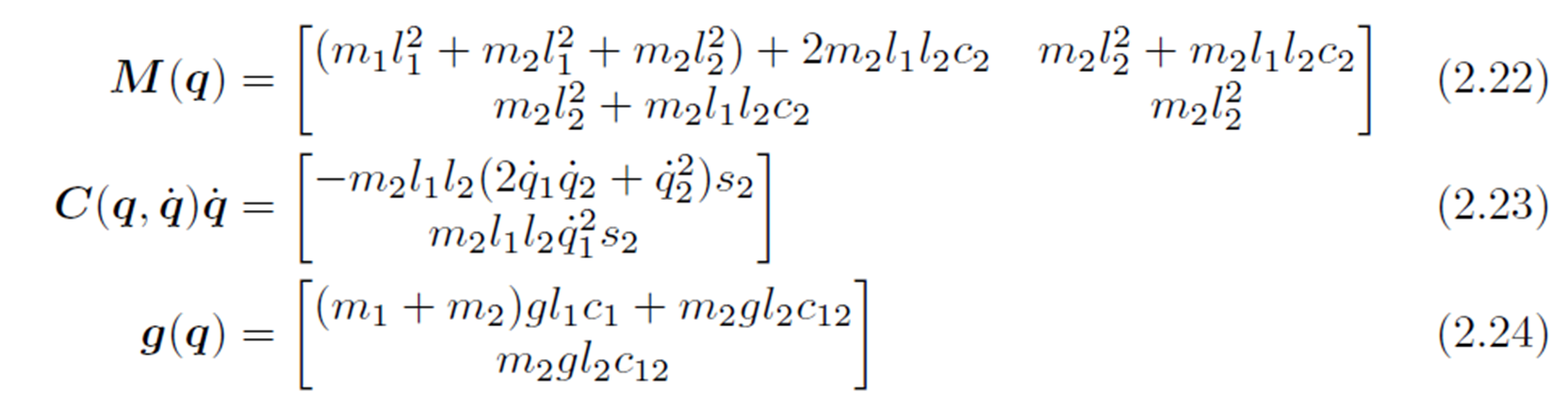
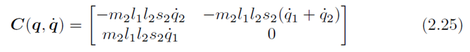
이와 같이 라그랑주 운동방정식을 적용하여 얻어진 식을 기반으로 $M(q)\ddot{q}+C(q,\dot{q})\dot{q}+g(q)=\tau$ (식 2.5) 의 로봇 동역학 모델을 성분별로 얻을 수 있습니다.
코리올리 및 구심력 벡터로부터 행렬 $C(q, \dot{q})$와 속도벡터 $\dot{q}$을 분리하는 방법이 무수히 많으므로, 크리스토펠 심볼 식을 이용하여 $C(q, \dot{q})$의 유일한 형태를 찾을 수 있습니다(참고사항).
이와 같이 라그랑주 운동방정식을 활용해서 로봇 동역학 모델 식을 얻을수 있었습니다.
또한 로봇 동역학 모델의 특성들은 다음과 같습니다.
| 1. $M=M^T$ and $M>0$ 2. $\dot{M}-2C$은 반대칭 (skew-symmetric) 행렬 3. $\dot{M}-C-C^T=0$ |
링크 관성을 가진 2 링크 매니퓰레이터의 동역학 모델을 유도해봅니다.
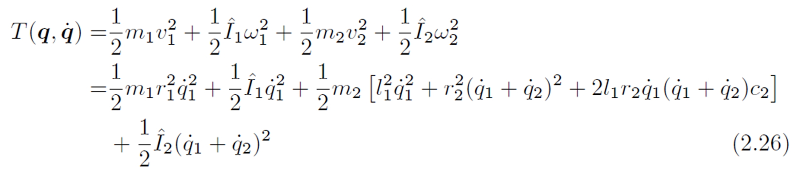
1링크때와 마찬가지로, 2 링크 로봇 시스템의 운동에너지는 직진 운동에 의한 운동에너지와 강체 회전에 의한 운동에너지로 다음 식과 같이 정의됩니다.
이때, $\hat{I_1} , \hat{I_2}$ 는 무게중심에서의 링크 관성입니다.
만약에 관절 축으로 이동하여 얻어진 링크 관성을 이용할 경우, 다음과 같이 평행 축 정리로 변경한 것을 사용해야 합니다.
$I_1=\hat{I_1}+m_1r_1^2, I_2=\hat{I_2}+m_2r_2^2$
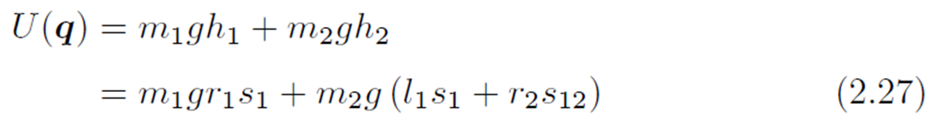
직진 운동과 회전 운동을 모두 고려한 운동에너지 방정식을 얻었으니, 각 링크 무게중심의 총 위치 에너지는 다음과 같습니다.
남은 과정은 라그랑지안 함수를 만들고, 라그랑주 운동방정식(식 (2.3))에 적용하여 로봇 동역학 모델을 얻으면 됩니다.
이상입니다.
* 본 글은 "실험로보틱스 교재 I(매니퓰래이션 및 비젼), 한국로봇학회, 제어로봇시스템학회, 한국로봇산업진흥원 "의 내용을 공부하면서 정리한 내용을 포스팅 한 것 입니다.
'Robot Theory > Manipulator Theory' 카테고리의 다른 글
| 동역학 - 뉴턴 오일러 운동방정식 1 (0) | 2022.06.16 |
|---|---|
| C(q, /dot{q})과 크리스토펠 심볼 식 활용 (0) | 2022.06.16 |
| 동역학 - 라그랑주 운동방정식 1 (0) | 2022.05.16 |
| 동역학 - Introduction (0) | 2022.05.13 |
| 기구학 - 여유자유도(Redundancy) (0) | 2022.05.09 |





















